Toggle navigation
View Current Plans
Score a Plan
What is PlanScore?
Models
data/2025B
data/2025A
data/2021C
data/2022F
data/2021A
data/XX/004
data/XX/003
data/WI/002-ushouse
data/WI/002-statesenate
data/WI/003-stateassembly-open
data/PA/006-statehouse-multizoom
data/PA/003-ushouse-JP
data/PA/002-ushouse
data/PA/008-ushouse
data/PA/006-statesenate-multizoom
data/2020
data/VA/001-statehouse-open
data/2021B
data/NC/007-ushouse
data/NC/006-nchouse
data/NC/006-ushouse
data/NC/006-ncsenate
data/NC/008-ushouse
data/MD/001-ushouse-open
data/2019Z
data/2021D
data/2025B / model_v_historical_cong_cycles_inc_2025B.png
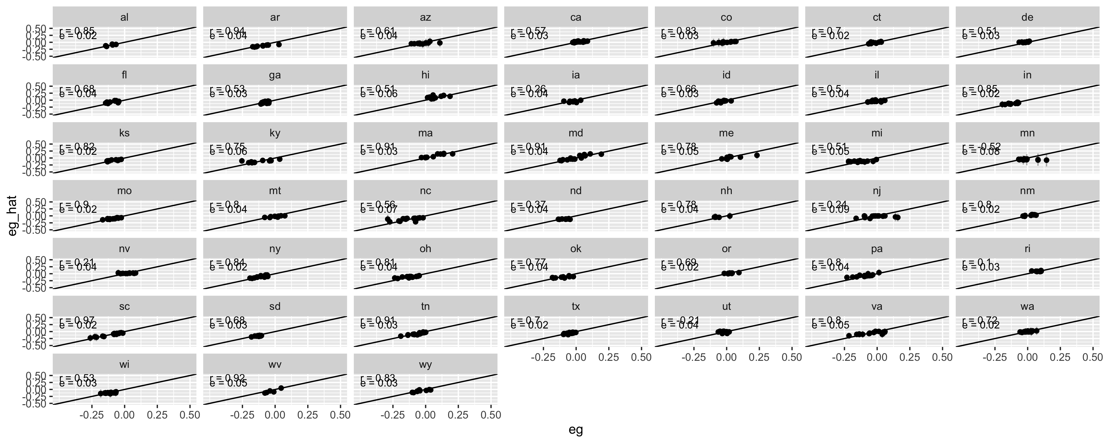
data/2025B / model_v_historical_cong_states_inc_2025B.png
data/2025B / model_v_historical_cong_states_open_2025B.png
data/2025B / model_v_historical_cong_cycles_open_2025B.png
data/2025B / matrix.png
data/2025A / model_v_historical_cong_cycles_inc_2025A.png
data/2025A / model_v_historical_leg_states_open_2025A.png
data/2025A / model_v_historical_leg_cycles_open_2025A.png
data/2025A / model_v_historical_leg_states_inc_2025A.png
data/2025A / model_v_historical_leg_cycles_inc_2025A.png
data/2025A / model_v_historical_cong_states_open_2025A.png
data/2025A / model_v_historical_cong_states_inc_2025A.png
data/2025A / model_v_historical_cong_cycles_open_2025A.png
data/2025A / matrix.png
data/2021C / model_v_historical_chambers_7plus_pres_in_year.png
data/2021C / model_v_historical_cycles_7plus_pres_in_year.png
data/2021C / model_v_historical_states_7plus_pres_in_year.png
data/2021C / planscore_methodology_pres_in_year.pdf
data/2021C / matrix.png
data/2022F / model_v_historical_cycles_cycles_leg.png
data/2022F / model_v_historical_states_cycles_leg.png
data/2022F / model_v_historical_cycles_cycles_leg_pvote_only.png
data/2022F / model_v_historical_states_cycles_cong.png
data/2022F / model_v_historical_states_cycles_leg_pvote_only.png
data/2022F / model_v_historical_cycles_cycles_cong_pvote_only.png
data/2022F / model_v_historical_states_cycles_cong_pvote_only.png
data/2022F / matrix.png
data/2022F / model_v_historical_cycles_cycles_cong.png
data/2021A / planscore_methodology.pdf
data/2021A / model_v_historical_states_7plus.png
data/2021A / model_v_historical_chambers_7plus.png
data/2021A / model_v_historical_cycles_7plus.png
data/2021A / matrix.png
data/2020 / planscore_methodology.pdf
data/2020 / model_v_historical_states_7plus.png
data/2020 / model_v_historical_chambers_7plus.png
data/2020 / model_v_historical_cycles_7plus.png
data/2020 / matrix.png
data/VA/001-statehouse-open / VA_pred_v_actual_House-of-Delegates.png
data/2021B / planscore_methodology.pdf
data/2021B / model_v_historical_states_7plus.png
data/2021B / model_v_historical_chambers_7plus.png
data/2021B / model_v_historical_cycles_7plus.png
data/2021B / matrix.png
data/NC/007-ushouse / NC_pred_v_actual_US-House.png
data/NC/006-nchouse / NC_pred_v_actual_State-House.png
data/NC/006-ushouse / NC_pred_v_actual_US-House.png
data/NC/006-ncsenate / NC_pred_v_actual_State-Senate.png
data/NC/008-ushouse / NC_pred_v_actual_US-House.png
data/2021D / model_v_historical_chambers_7plus_pres_in_year.png
data/2021D / model_v_historical_cycles_7plus_pres_in_year.png
data/2021D / model_v_historical_states_7plus_pres_in_year.png
data/2021D / planscore_methodology_pres_in_year.pdf
data/2021D / matrix.png